2xy=8 Y=2X8 (GREEN LINE) (graph 300x0 pixels, x from 6 to 5, y from 10 to 10, of TWO functions 3x 2 and 2x 8) solution (2,4) Answer by stanbon(757) (Show Source) You can put this solution on YOUR website!3x2y=2;2xy=8 Simple and best practice solution for 3x2y=2;2xy=8 Check how easy it is, to solve this system of equations and learn it for the future Our solution is simple, and easy to understand, so don`t hesitate to use it as a solution of your homeworkY = 3x 2 2x y = 8 Rearrange y = 3x 2 y = 2x 8
3 2 Solving By Substitution And Elimination 3 3 Application Ppt Download
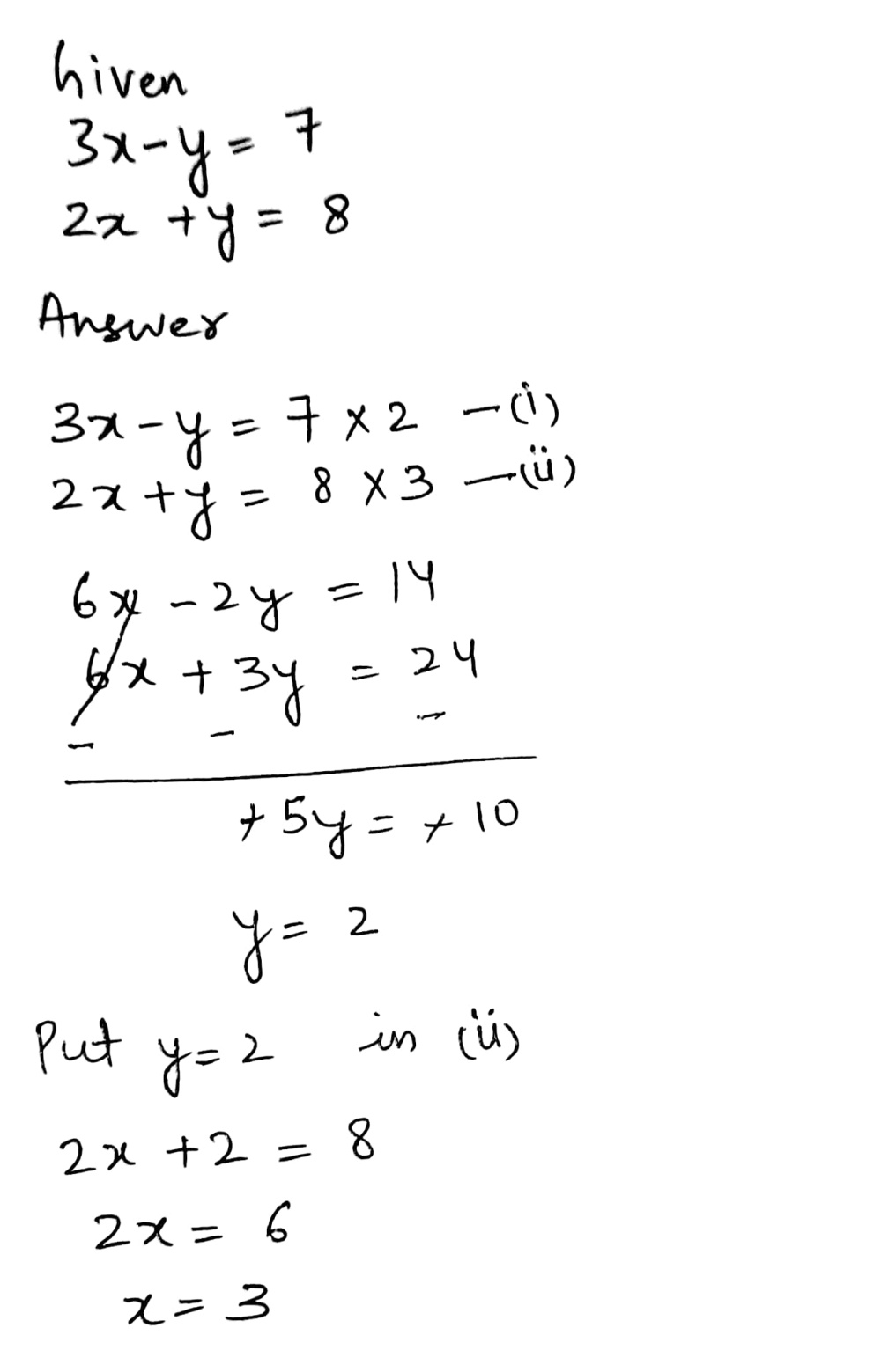
Draw the graph of 3x-y-2=0 and 2x+y-8=0
Draw the graph of 3x-y-2=0 and 2x+y-8=0-3y – x = 4 asked in Linear Equations in Two Variables by KomalKumari ( Using graph (i) Draw the graph of 3xy2=0 and 2xy8=0 Take 1 cm =1uniton both axis (ii) Find the area of the triangle formed Maths



Draw The Graphs Of The Following Equations 3x Y 2 0 And 2x Y 8 0 On The Graph Paper Ii Brainly In
To ask Unlimited Maths doubts download Doubtnut from https//googl/9WZjCW Solve `3xy2=0 , 2xy8=0` by method of cross multiplication\\begin{aligned}&3xy=2\\&2xy=8\end{aligned}\ > Substitute 2xy=4 2 (2)y=4 4y=4 y=8 y=8 kattyahto8 and 4 more users found this answer helpful heart outlined Thanks 2The only way this can happen is if there is no intersection point, as this point would be the answer And of course, if there is no intersection, then the lines are parallel Here's an example y = 4x 19 y = 4x 7 Here, the slopes are the same, so the lines are parallel and never intersectCheck our free android apphttps//playgooglecom/store/apps/details?id=comthreepingyaanschool3x y 2 = 0 and 2x y = 8 Problem Set 1 Q34 of Linear Eq Step by step solution of a set of 2, 3 or 4 Linear Equations using the Substitution Method 2xy=8;3xy=2 Tiger Algebra Solver The two lines intersect at point (2, 4) ∴ x = 2 and y = 4 is the solution of the simultaneous equations 3x – y – 2 = 0 and 2x y = 8 iiOr click the example How Do You Solve The System 2 X 4 Y 6 3x 2 Y 3 13 Socratic Search Q Elimination Method Class 10 Tbm Isch 2x x 2 y) u xx= (x2 y2)(2) (2x)(2x) (x 2 y) = 2y2 2x2 (x y2)2;3x−y−2= 0 y = 3x−2 ∣x= 0,1∣ ∣y = −2,1∣ 2xy = 8 y = 8−2x ∣x= 0,4∣ ∣y = 8,0∣ The solution of the given equations is the point of intersection of the two lines ie (2,4) Ayudaas 3x y =2 2xy=8 1 Ver respuesta espera ok suma ambas ecuaciones 3xy=2 2xy=8 sumando ambas 3xy2xy=28 5x=10 x=2 y=4 Graciassd jg está esperando tu ayuda Añade tu respuesta y gana puntos tatigamed tatigamed Respuesta 2x y = 8 3x 2y = 5 Primero despejamos cualquier incógnita de la una ecuación, 2x y = 8 y = 2x Q3d 3x Y 2 0 2x Y 8 Solve The Following Simultaneous Equation Graphically 2x Y 8 3x 2y 5 Igualacion Novocom Top Since we want to solve with substitution, we must solve for one variable in one of the equations I think it would be easiest to solve for y in the first equation y = 5 −2x We can now substitute into the other equation 3x 2(5 − 2x) = 9 3x 10 − 4x = 9 −x = Use the substitution method to find all solutions of the system equations 1 2xy=7 x2y=2 2 x^2y^2=25 y=2x 3 x^2y=9 xy3=0 4 x^2y=1 2x^23y=17 use the elimination method to find all solutions read moreL1 { L4 Georgia Institute of Technology, Fall 15 Homework 17 A Solving Systems of Di erential Equations with the Laplace Transform Http Www Mooreschools Com Cms Lib Ok Centricity Domain 2211 Solve By Elimination 11 Pdf Solve 3x Y 2 0 2x Y 8 0 By Method Of Cross Multiplication Youtube Zadanie rozwiąż układ równań metodą podstawiania a Rozwiązaniea 2x y 8 4x y 10 y 8 2x 4x 8 2x 10 y 8 2x 6x 18 6 y 8 2x x 3 y 8 6 x 3 rozwiązanie x 3 y 2 Zaliczajpl Jesteś niezalogowany Zaloguj się lub zarejestruj nowe kontoFollow Report by Murathotiramaiah Log in to add a comment9 Use graph paper for this question (i) Draw the graphs of 3x y – 2 = 0 and 2x y – 8 = 0 Take 1 cm = 1 unit on both axes and plot three points per line (ii) Write down the coordinates of the point of intersection and the area of the triangle formed by the lines and the xaxis Lines L1 Is Given By Equation Y 2x 4 And L2 Is 3x Y 1 Intersect At T A Determine The Co Ordinates Of T B Another Given 2x Y 8 And 3x Y 17 Sven Solved The System Of Chegg Com Systems of Equations Calculator is a calculator that solves systems of equations stepbystep Example (Click to view) xy=7;X2y=11 Try it now Enter your equations in the boxes above, and press Calculate!Start with the given system of equations Now in order to solve this system by using substitution, we need to solve (or isolate) one variable I'm going to solve for y Omtex Classes 3x Y 2 2x Y 3 Solve The Following Simultaneous Equations Graphically Systems Of Equations With Elimination X 2y 6 4x 2y 14 Video Khan Academy Get stepbystep solutions from expert tutors as fast as 1530 minutes Your first 5 questions are on us!Your input find the equation of the line parallel to the line $$$ y=2 x 5 $$$ passing through the point $$$ \left(3,5\right) $$$ The equation of the line in the slopeintercept form is $$$ y=2 x 5 $$$ The slope of the parallel line is the same $$$ m=2 $$$ So, the equation of the parallel line is $$$ y=2 xa $$$ To find $$$ a $$$, we use the fact that the line should pass through Answers 1 on a question Consider the system of linear equations 2x 3y = 8 and 3x y = –2 Which statement is correct? Solve The Following Simultaneous Equation Graphically 3x Y 2 0 2x Y 8 Algebra Shaalaa Com 10 Solve The Following System Of Linear Equations Graphically 3x Y 2 0 And 2x Y 8 0 Find The Area Of Brainly In Y=3x1 Polynomials Algebra Calculator can simplify polynomials, but it only supportsCompute answers using Wolfram's breakthrough technology & knowledgebase, relied on by millions of students & professionals For math, science, nutrition, historySolve your math problems using our free math solver with stepbystep solutions Our math solver supports basic math, prealgebra, algebra, trigonometry, calculus and more Solve The System 3x Y 8 2x Y 2 By Graphing Chegg Com 1 X Y 4 X Y 2 X Y 4 X Y 2 2 2y X 1 2x Y 8 2x Y 8 Gauthmath Trong mặt phẳng với hệ toạ độ, cho đường tròn x2 y2 2x – 8y – 8= 0Viết phương trình đường thẳng song song với đường thẳng d 3x y 2 = 0 và cắt đường tròn theo một dây cung có độ dài bằng 6 A 3x y 9= 0 hoặc 3x y 9= 0 B 3x y 19= 0 hoặc 3x y 21= 0 C 3x y 19 = 0 hoặc 3x y 21= 0Graph 2xy=8 2x − y = 8 2 x y = 8 Solve for y y Tap for more steps Subtract 2 x 2 x from both sides of the equation − y = 8 − 2 x y = 8 2 x Multiply each term in − y = 8 − 2 x y = 8 2 x by − 1 1 Tap for more steps Multiply each term in − y = 8 − 2 x y = 8 2 x by − 1 13xy=8 2xy=6 Answer by jim_thompson5910 () ( Show Source ) You can put this solution on YOUR website! Q Tbn And9gctfl4hsy1imuw2nik4axwtl729xupbm757esrndpgogxrmbl Oh Usqp Cau Solve The Following Systems Of Equations Graphically 3x Y 1 0 2x 3y 8 0 Sarthaks Econnect Largest Online Education Community 1 6xy=8 Graph this equation 2 solve this system {4x3y = 1 (3xy = 2 2 34 2x1=y xy=3 Solve this system 4 Solve for X 9 (xD 2x16=62 5Math 2552 Di erential Equations Sections F1 { F4;2x y = 8 Advertisement Remove all ads Solution Show Solution 3x – y – 2 = 0 x 0 1 y –2 1 2x y = 8 x 0 4 y 8 0 The solution of the given equations is the point of intersection of the two line ie (2, 4) Concept Graphical Method of Solution of a Pair of Linear Equations Mameoas Eqaatons 2 2x Y 8 3x Y 2 5 4x Y 17 2x Y Gauthmath 2x Y 1 I 3x Y 8 Reshit Sposobom Algebraicheskogo Slozheniya Shkolnye Znaniya Com Step by step solution of a set of 2, 3 or 4 Linear Equations using the Substitution Method 3xy=8;2x2y=8 Tiger Algebra SolverHere are some examples y=2x^21, y=3x1, x=5, x=y^2 To graph a point, enter an ordered pair with the xcoordinate and ycoordinate separated by a comma, eg, To graph two objects, simply place a semicolon between the two commands, eg, y=2x^21;3xy = 4, 2xy = 6 \square! Find The Gradient Of Each Linear Function A Y 2x 1 B Y 2 C X Y 1 0 D 3x Y 8 E 2x Y 5 0 F X 4y 12 0 G 3x 2y 4 0 H 5x 4y 15 I Y Dfrac 2 3 X 3 Snapsolve Solve The Following System Of Equations Graphically 3x Y 1 0 2x 3y 8 0 The given linear programming problem is Maximize Z = 2x 5y subject to the constraints 2x 4y ≤ 8 3x y ≤ 6 x y ≤ 4 x ≥ 0, y ≥ 0 Converting the inequations into equations, we obtain the following equations of straight lines 2x 4y = 8, 3x y = 6, x y = 4 The line 2x 4y = 8 meets the coordinate axes at (4, 0) and (0, 2) `{(3x y 2 0),(2x y 8 = 0)}`Solve the pair of linear equation of 3xy2=0,2xy8=0 Ask for details ; 3x 4y 7 2x Y 8 Scholr 3x 2y 8 And 2x 5y 2 The point (1, 2) is not a solution to the system of equations because it satisfies neither equation The point (1, 2) is not a solution to the system of equations because it does not satisfy the equation 3x y = –2 The point (1, 2) is a solution to the systemThe angle between lines joining the origin to the points of intersection of the line √3x y = 2 and the curve y 2 – x 2 = 4 is equal to (A) tan1 (2/√3) (B) π/6 tan1 (√3/2) (D) π/2 48 The number of real points at which the line 3y – 2x = 14 cuts the hyperbola is (A) 2 (B) 3 4 (D) none of these 49 The line 2x y = 0How To Given a binomial, write it in expanded form Determine the value of n \displaystyle n n according to the exponent Evaluate the k = 0 \displaystyle k=0 k = 0 through k = n \displaystyle k=n k = n using the Binomial Theorem formula 3x Y 2 2x Y 3 Solve The Following Simultaneous Equations Graphically Omtex Classes 1 a) x – y = −6 x y = 8 b) 2x y = 12 −3x y = 2 c) −2x 3y = −1 2x 5y = 25 Josefina quiere saber cuanto de papel decorado se necesita para envolver la siguiente caja mostrada además quiere saber cual es el volumen que ocuparaSolve for y 2x3y=8 2x − 3y = 8 2 x 3 y = 8 Subtract 2x 2 x from both sides of the equation −3y = 8−2x 3 y = 8 2 x Divide each term by −3 3 and simplify Tap for more steps Divide each term in − 3 y = 8 − 2 x 3 y = 8 2 x by − 3 3 − 3 y − 3 = 8 − 3 − 2 x − 3 3 y 3 = 8 3 23x – y – 2 = 0 ; Algebra Ii Honorsgifted Sections 3 1 And 3 Solving Systems Using Substitution Ppt Download 2XY=8 Solve by graphical method 1 See answer kalesakshi23 is waiting for your help Add your answer and earn pointsSolve 3x y = 2 Eq(1) 2x y = 4 Eq(2) from Eq(1) we get, y = 4 2x putting the value of y in the Eq (1 3x – y = 2 ; Practice 1 Solve For Y 4x 2y 8 2 Solve For Y 3x 5y 10 3 Graph The Equation 3x 2y 5 X Y O Ppt Download Practical Exercises 3 System Analysis Get stepbystep solutions from expert tutors as fast as 1530 minutes5x – 2y = 0 iii 2x – 3y = 4 ;Steps for Solving Linear Equation 2xy=8 2 x y = 8 Subtract y from both sides Subtract y from both sides 2x=8y 2 x = 8 − y Divide both sides by 2 Divide both sides by 2 Solve The Pair Of Linear Equation Of 3x Y 2 0 2x Y 8 0 Brainly In Ch 6 Wu The equations are 2x y = 8 and x y = 4 Write the equations in slopeintercept form y = mx b, where m is slope and b is y intercept The first equation is 2x y = 8 y = 2x 8 Compare the equation with slopeintercept form y = mx b slope = 2 and yintercept is 8 yintercept is 8, so the line crosses the yaxis at (0, 8)Not sure what elimination method is You can substitute one equation in the other to solve it Or put the 2 equations side by side and subtract or add them Trying to get rid of x or y 2x y = 8 3xy = 17 So I add the columns 2x3x yy = 8 17M 2y=8 M 2x y = 4 x y = 2 8 L * y 4 9 L 2x 3y = 8 10 L M 2x 2y = 4 4x 2y = 7 M 3x 3y = 12 M 6x 9y = 2 M 2x y = 2 11 L 3x 4y 1 12 4x 3y 2 13 L 3 14 L M 2y = 4 M 2x y = 1 M y = 2 M x= 2 un Problems 1526, the given pairs of lines intersect Q1 Solve The Following Simultaneous Equations I X Chegg Com Class 12 Ex1 3 1 Ii Solve 2x Y 8 3x 2y 2 By Matrix Inversion Method K Thirumurugan Youtube 2Xy=7 3xy=2 2x3y=8 3x4y=—5 Q) 46) (L) 2(5) —10 3x2y=8 —6x4y=—16 —IoM — 6x—y=—15 CD 391 91 0) 4x—y=5 2 y8'=7 316) x2y —3y5z —z 3rd x2y—3z=— 16 3x5y—2z=— —3K —10 restaurant manager wants to purchase 300 sets of dishes One design costs $ per set, while another costsSimplify (3x2y)^2 (2x3y)^2 \square!And by the symmetry of uin xand y, u yy= 2x2 22y (x2 y2)2 Clearly then u xx u yy= 0 in this case If u= arctan(y=x), then by the chain rule again u x= 1 1 (y x) 2 y x 2 = 2y x y 2) u xx= (x y2)(0) ( y)(2x) (x y2) = 2xy (x2 y2)2 Likewise u y= 1 1 (y x) 2 1 x Solving Systems Of Equations By Graphing Bingo Card View Question Simultaneous Equations 3x Y 23 2x 3y 8 What Is X And Y 2x – y = 3 ii 3x – 4y = 7 ; Simplify 3x 2y X 2y 4y X 2y 2 3x 2x Y 2x Chegg Com Solve Graphically The Following Pair Of Linear Equations 2x 3y 8 0 And 3x Y 1 0 Answered Y 4 3 1 2 12x 10y 4 3 5 2 Bartleby X Y 8 2 X 2y 14 3 3x Y 4 2 2x Y 8 3x 2y 5 Novocom Top Rd Sharma Class 10 Solutions Maths Chapter 3 Pair Of Linear Equations In Two Variables Exercise 3 2 Ex 4 6 8 Solve Using Matrix Method 2x Y 2 3x 4y 3 Solve By Substitution 2x Y 8 3x Y 2 Chegg Com Document S3 Eu West 1 Viewx Y 7 X 3 X 2y 11 Y 4 3 X 2y 9 X 1 3x Y 2 Y 5 4 4x Y 5 X 2 X 3y 11 Y 3 5 5x 3y 8 X 2 5 X 3y 2 Y 1 5 6 4x 3y 0 X 3 X 2y 5 Y 4 Section 2 Solve The Simultaneous Draw The Graphs Of The Following Equations 3x Y 2 0 And 2x Y 8 0 On The Graph Paper Ii Brainly In If 2x Y 2 5 3x Y 1 3 2 X 2y 1 6 Then Systems Of Equations With Substitution 9x 3y 15 Y X 5 Video Khan Academy Begincases X3y 3 2x Y8 Endca See How To Solve It At Qanda 2x Y 8 3x 2y 5 Igualacion Novocom Top 3x Y 2 0 2x Y 8 Solve The Graphically Linear Equations In Two Variables Maths 1 Youtube Frac 3x Y 7 2x Y 8endarray Solve The System Gauthmath The Substitution Method Answered A 3x 2y 4 B 3x 4y 24 X 2y 8 D 4x 3y Bartleby Solve The Following Simultaneous Equations Graphically I 3x Y 2 0 2x Y 8 Ii 3x Y 10 X Y 2 Sarthaks Econnect Largest Online Education Community Example 14 Reduce Equation Root 3x Y 8 0 Into Normal Form The Region In The First Quadrant Bounded By Y 5x 2 Y 3x 8 And The Y Axis Is Rotated Around The Line X 3 Find The Volume Of The Resulting Solid Study Com Left Iright Xy 40left 3x Y0 See How To Solve It At Qanda Solution Y 3x 2 2x Y 8 Solve 2x Y 5 And 3x 2y 8 Solve The Following Simultaneous Equations Graphically I 3x Y 2 0 2x Y 8 Ii 3x Y 10 X Y 2 Sarthaks Econnect Largest Online Education Community What Is The Center Of The Triangle Formed By The Line X Y 5 2x Y 8 And 3x Y 7 Quora Msbshse Solutions For Class 9 Maths Part 1 Chapter 5 Linear Equations In Two Variables Hence The Solution Is X 1 Y Solve For X And Y By Using Me Scholr Solving Simultaneous Equations Elimination Substitution Graphical Matrix Methods Maths Tutorials Vivax Solutions Solve Graphically The Following Pair Of Linear Equations 2x 3y 8 0 And 3x Y 1 0 If 2x 2 3xy Y 2 X 2y 8 0 Then Dy Dx Youtube 3 2 Solving By Substitution And Elimination 3 3 Application Ppt Download Worksheet 1 Solve The Linear Equations Using The Substitution A 2x Y 2 3x Y 8 B Frac 2x Y 3 X Y 3endvmatrix Gauthmath Show That The Lines 2x Y 3 0 3x 2y 2 0 And 2x 3y 23 0 Are Concurrent And Find The Point Of Concurrency 3x Y 2 0 2x Y 8 Graphically Novocom Top X Y 8 2 X 2y 14 3 3x Y 12 11 Youtube Q Tbn And9gct4s8gxlkuej9v5jqwemmtp5zq1 Xris7znpjgh6ku Usqp Cau Solving Systems Of Equations By Graphing Bingo Card 3x Y 2 0 2x Y 8 0 100以上 Solve Graphically X Y 7 3x Y 1 3665 Solve Graphically X Y 7 3x Y 1 3x Y 2 0 And 2x Y 8 Problem Set 1 Q3 4 Of Linear Equations In Two Variables Algebra Youtube Viewlinear Simultaneous Equations Solve The Following For X Y X Y 1 2x Y 11 3x 2y 8 2x 2y 2 2x 3y 8 5x 3y 11 4x Y 2 3x Y 1 Inequalities Linear 2x Y 8 3x Y 2 Elimination Method Brainly In Ppt On Solving Simultaneous Equations Powerpoint Slides Example 28 Solve By Matrix Method 3x 2y 3z 8 2x Y Z 1 Examples Solve The Following Simultaneous Equation Graphically 3x Y 2 0 2x Y 8 3x Y 2 0 2x Y 8 Simultaneously Brainly In 3x Y 2 0 2x Y 8 Solve By Substitution Method Brainly In The Substitution Method Algebra Ii Algebra Ii Honors Gifted Sections 3 1 And 3 2 Solving Systems Of Equations Algebra Ii Sections 3 1 And Ppt Download Eeuations 1 2x Y 8 3x Y 17 3 A 2b 13 2a 3b 5 5 4x Gauthmath 3x Y 10 X Y 2 7857 Solve 3x Y 10 X Y 2 Patmongjpwall Chapter 6 Systems Of Equations And Inequalities Ppt Download How To Find The Area Enclosed Between The Line Y 2x 8 And The Curve Y X 2 3x 4 Quora 3x Y 2 0 2x Y 8 0 Viewlinear Simultaneous Equations Solve The Following For X Y X Y 1 2x Y 11 3x 2y 8 2x 2y 2 2x 3y 8 5x 3y 11 4x Y 2 3x Y 1 Inequalities Linear Docx Document 2 Solve The Linear Equation Using Substitution Method 3x Y 2 2x Y 8 Maths Linear Equations In Two Variables Meritnation Com Blogs Glowscotland Org Uk Nl Public Coatbridgemaths Uploads Sites 353 05 Simultaneous Equations Pdf 9 Use Graph Paper For This Question Draw The Graphs Of 3x Y 2 0 And 2x Y 8 0 Take 1 Cm 1 Unit Reshit Sistemy Uravnenij Sposobom Slozheniya A 2x Y 2 3x Y 8 B 4x 3y 3 4x 7y 5 V 7x 3y 1 3x 7y 17 Answered X Y 2 2x 3y 9 Sx Y 2 6 Y 8 2 Bartleby 3b Rewrite The Following Equa See How To Solve It At Qanda Ppt Simultaneous Equations Powerpoint Presentation Free Download Id Q4 Let Us Solve The Simultaneous Equations 2x Y 8 And 2y 3x 5 By The Method Of Solve The Following Systems Of Equations Graphically 3x Y 1 0 2x 3y 8 0 Mathematics Shaalaa Com ख ल ल एकस मय क सम करण आल ख पद धत न स डव 3x Y 2 0 2x Y 8 Mathematics 1 Algebra गण त १ ब जगण त Shaalaa Com


























































































































































































































































































































0 件のコメント:
コメントを投稿