Z = x2 y2, above the xyplane, and inside the cylinder x2 y2 = 2x Solution The cylinder x2 y2 = 2x lies over the circular disk D which can be described as {(r,q) −p/2 ≤ q ≤ p/2, 0 ≤ r ≤ 2rcosq } in polar coordinates The reason is that if we write (x,y,z) = (rcosq,rsinq,z) for any point in the cylinder, then r2 = x2 y2 ≤ 2x167 Surface Integrals In the integral for surface area, ∫b a∫d c ru × rv dudv, the integrand ru × rv dudv is the area of a tiny parallelogram, that is, a very small surface area, so it is reasonable to abbreviate it dS; In this video explaining triple integration exampleFirst set the limits and after integrate This is very simple and good example#easymathseasytricks #defi
Triple Integrals In Cylindrical And Spherical Coordinates Calculus Volume 3
Cylinder x^2+y^2=4 and the surface z=xy
Cylinder x^2+y^2=4 and the surface z=xy-Find the volume of the solid bounded above by the cone z 2 = x 2 y 2, below by the xyplane, and on the sides by the cylinder x 2 y 2 = 4x Show HOW you FIND the THETA BOUNDS Solve by converting to cylindrical coordinates Remember dzdydx > rdzdrdtheta Since the cylinder has area element d s d z, we can integrate the arclength s ( z) = 2 θ ( z) of the intersection of the region with the circle at constant z to get the surface area of the region At constant z ∈ − 4, 4, the intersection of x 2 y 2 ≤ 16 − z 2 and x 2 y 2 − 4 y = 0 is an arc of angle θ ( z) = 2 ( π − arccos ( 1 − 1 8 z 2))



T The Intersection Between Cylinder X 1 2 Y 2 1 And Sphere X 2 Y 2 Z 2 4 Is Called
Use a line integral to find the lateral surface area of the part of the cylinder \(x^ 2 y^ 2 = 4\) below the plane \(x2y z = 6\) and above the \(x y\)plane For Exercises 611, calculate \(\int_C \textbf{f}d\textbf{r}\) for the given vector field \(\textbf{f}(x, y)\) and curve \(C\)Then a shortened version of the integral is ∫∫ D1 ⋅ dS We have already seen that if D is a region inThe cylinder x2 y2 = 4 oriented counterclockwise as viewed from above The curve Cis an ellipse which is not easy to parameterize Thus, we apply Stokes' Theorem First, curlF~= ~i ~j ~k @ @x @ @y @ @z 2z 4x 5y = h5;2;4i The surface Sis the elliptical region in the plane z= x 4
In this section we want do take a look at triple integrals done completely in Cylindrical Coordinates Recall that cylindrical coordinates are really nothing more than an extension of polar coordinates into three dimensions The following are the conversion formulas for cylindrical coordinates x =rcosθ y = rsinθ z = z x = r cosFind the volume of the solid in the first octant bounded by the coordinate planes, the cylinder x^{2}y^{2}=4, and the plane zy=3 Get certified as an expert inFollow my work via http//JonathanDavidsNovelscomThanks for watching me work on my homework problems from my college days!
Between the two cylinders x 2y2 = 4, x y2 = 9 The bottom of this solid is z = 0, and the top of this surface is given by z = x y 5, or in cylindrical coordinates, z = rcosθ rsinθ 5 = r(cosθ sinθ)5 The "sides" of this solid are the cylinders, r 2= 4 and r = 9 A cylindrical coordinate description of this solid isTraces are useful in sketching cylindrical surfaces For a cylinder in three dimensions, though, only one set of traces is useful Notice, in Figure 280, that the trace of the graph of z = sin x z = sin x in the xzplane is useful in constructing the graphThe trace in the xyplane, though, is just a series of parallel lines, and the trace in the yzplane is simply one line Example 1586 Setting up a Triple Integral in Spherical Coordinates Set up an integral for the volume of the region bounded by the cone z = √3(x2 y2) and the hemisphere z = √4 − x2 − y2 (see the figure below) Figure 15 A region bounded below by a cone and above by a hemisphere Solution



1



Www Ualberta Ca Csproat Homework Math 215 Solution 8 Pdf
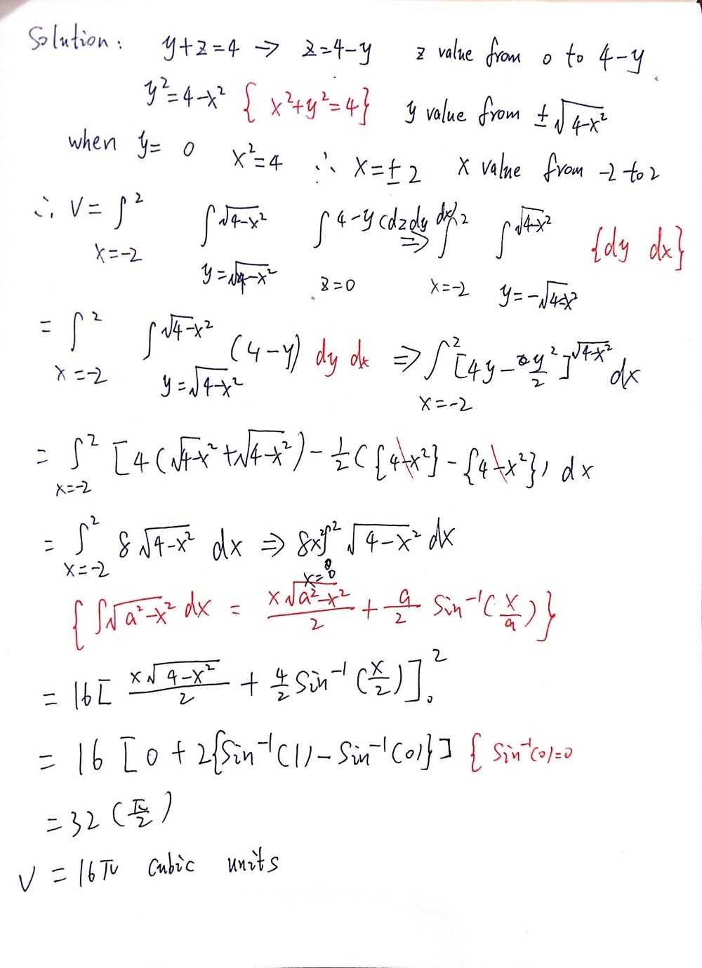
Find the volume bounded by the cylinder x 2 y 2 = 4 and the planes y z = a and z = 0 ⋅ ( H) written 34 years ago by smitapn612 ♦ 70 modified 32 years ago by juilee ♦ 71k Subject Applied Mathematics 2 Topic Triple integration and Applications of Multiple integrals DifficultyCylinder x2 y2 = 4, oriented clockwise when viewed from above Solution Let S be the part of the plane 3x 2y z = 6 that lies inside the cylinder x2 y2 = 1, oriented downward Then C = ∂S By Stokes' Theorem, Z C F·dr= ZZ S curlF·dS where curlF= i j k ∂Answer to Find the area of the part of the plane x 2y z = 4 that lies inside the cylinder x^2 y^2 = 4 By signing up, you'll get thousands for Teachers for Schools for Working Scholars



Find The Volume Inside Both The Cylinder X 2 Y 2 1 And The Sphere X 2 Y 2 Z 2 4 Study Com



Www Ualberta Ca Csproat Homework Math 215 Solution 7 Pdf
X 2y z2 =16 and outside the cylinder x 2y =4 Solution This volume is given by 2 ZZ D p 16−x2 −y2 dA where D is the domain D = © (x,y) 4 ≤x2 y2 ≤16 ª Using polar coordinates, we see that the volume is 2 Z 2π 0 Z 4 2 √ 16−r2rdrdθ=32 √ 3π 4Assignment 8 (MATH 215, Q1) 1 Use the divergence theorem to find RR S F ndS (a) F(x,y,z) = x3 i 2xz2 j 3y2z k; Find the volume of the solid bounded by the xy plane, the cylinder $x^{2} y^{2}=4$, and the plane $zy=4$ 0 Using double integral to find the volume of region



Math Help



15 Multiple Integrals Copyright Cengage Learning All Rights
The cylinder x 2 y 2 = 4 and the surface z = xy bartleby Find a vector function that represents the curve of intersection of the two surfaces 42 The cylinder x 2Homework 5 Solutions Math 232, Alena Erchenko 1 Evaluate RRR E (x y) dV where Eis the solid that lies between the cylinders x2 y2 = 1 and x 2 y = 16, above the xyplane, and below the plane z= y 4 Hint Use cylindrical coordinates coordinates The blue circle is the cylinder \({x^2} {y^2} = 4\) that is centered on the \(z\)axis Since we are looking at the solid from directly above all we see is the walls of the cylinder which of course is just a circle with equation \({x^2} {y^2} = 4\)



2 Bore Double Acting Air Cylinder W Magnetic Piston Stainless Steel Series Universal Mount American Cylinder



Triple Integrals In Cylindrical And Spherical Coordinates Calculus Volume 3
Triple Integrals in Cylindrical Coordinates The position of a point M (x,y,z) in the xyz space in cylindrical coordinates is defined by three numbers ρ,φ,z, where ρ is the projection of the radius vector of the point M onto the xy plane, φ is the angle formed by the projection of the radius vector with the x axis (Figure 1 ), z is theUse polar coordinates to find the volume of the given solid Inside both the cylinder x^2 y^2 = 4 and the ellipsoid 4x^2 4y^2 z^2 = 64 964 It's not really necessary to use calculus at all!



Graph X 2 Y 2 4 Youtube



The Divergence Theorem
See the explanantion This is the equation of a circle with its centre at the origin Think of the axis as the sides of a triangle with the Hypotenuse being the line from the centre to the point on the circle By using Pythagoras you would end up with the equation given where the 4 is in fact r^2 To obtain the plot points manipulate the equation as below Given" "x^2y^2=r^2" ">" "x^2y^2 =4Math 9 Assignment 11 — Solutions 2 where V = πa2b/4 is the volume of D, and ¯y = b/2 is the ycoordinate of the centroid of DThe final result is ZZ S → F ·→n dS = ZZ Stot F →n tot dS − πa2b2 4 = 2V 2Vy¯− 2 b2 4 = 2 2 3 Using the divergence theorem, evaluateThe cylinder x 2 y 2 = 4 and the surface z = xy more_vert Find a vector function that represents the curve of intersection of the two surfaces 42 The cylinder x 2 y 2 = 4 and the surface z = xy close Start your trial now!



Find The Volume Of The Given Solid Bounded By The Cylinder Y 2 Z 2 4 And The Planes X 2y X 0 Z 0 In The First Octant Homework Help And Answers Slader



Find The Volume Of The Given Solid Bounded By The Cylinder Y 2 Z 2 4 And The Planes X 2y X 0 Z 0 In The First Octant Homework Help And Answers Slader
The intersection of two surfaces will be a curve, and we can find the vector equation of that curve When two threedimensional surfaces intersectSolved Bounded by the cylinder x^2y^2=1 and the planes y=z, x=0, z=0 in the first octant SladerLet E be the region bounded below by the r θ r θplane, above by the sphere x 2 y 2 z 2 = 4, x 2 y 2 z 2 = 4, and on the sides by the cylinder x 2 y 2 = 1 x 2 y 2 = 1 (Figure 554) Set up a triple integral in cylindrical coordinates to find the volume of the region using the following orders of integration, and in each case find



Www3 Nd Edu Zxu2 Triple Int16 7 Pdf



Find The Area Of The Surface The Part Of The Surface Z Xy That Lies Within The Cylinder X2 Y2 Brainly Com
The cylinder is given by x 2 y 2 = 1 That will intersect the sphere when x 2 y 2 z 2 = 1 z 2 = 2 that is, when z= 1 and 1 so the cylinder has height 2 The volume of a sphere with radius is The volume of a cylinder with radius 1 and height 2 isThe surface on the xyplane is the region between x2 y2 = 4 and x2 y2 = 4, 2 r 4 Therefore the required area is R 2ˇ 0 R 4 2 r p 4r2 1drd 10 (a) Since 2x 2zz x = 0, z x = x z Similarly z y = y z Hence q 1 f2 x f y 2 = q 1 z2 x z y 2 = q 1 x 2 z 2 y z = 2 z The projection of the Son the xyplane is D= f(x;y) x2y2 4gLet G be the solid enclosed by the cylinder x^2 y^2 = 4, the sphere x^2 y^2 z^2 = 16, and the plane z = 0 (a) Set up, but do not evaluate, an integral (or integrals) in rectangular coordinates for the volume of G (b) Set up, but do not evaluate, an integral (or integrals) in cylindrical coordinates for the volume of G



Answered Find The Volume Of The Solid Below The Bartleby



2 15 Points Let G Be The Solid Enclosed By The Chegg Com
Of a curved wedge cut out from a cylinder (x − 2)2 y2 = 4 by the planes z = 0 and z = −y Solution First sketch the integration region I (x − 2)2 y2 = 4 is a circle in the xyplane, since x2 y2 = 4x ⇔ r2 = 4r cos(θ) r = 4cos(θ) I Since 0 6 z 6 −y, the integration region is on the y 6 0 part of the z = 0 plane y z = y 2 4So the intersection of the cylinder x 2 y = 9 and the surface z = xy can be represented by (3cos(t),3sin(t),9cos(t)sin(t)) 3( pts) Find a vector function that represents the curve of intersection of the cone z = p x 2y and the plane z = x2 Solution Both equations (z = p x2 y2 and z = x 2) are solved for z, so we can substitute toFirst week only $499!



Assignment 5 Math 215 Q1 1 Evaluate The Triple Integral A



Find The Volume Of The Given Solid Bounded By The Cylinder Y 2 Z 2 4 And The Planes X 2y X 0 Z 0 In The First Octant Homework Help And Answers Slader
S is the surface of the solid bounded by the paraboloid z = 4 − x2 − y2 and the xyplane Solution The divergence of F isThe cylinder x^2 y^2 = 4 and the plane 2x 3y 4z = 5 intersect in a curve a Write a parametrization of the curve Proof A parametric equation is where 0 lessthanorequalto t Struggling with your classes?Answer to Find value of the solid inside both to cylinder x^2 y^2 = 4 \ and \ ellipsoid \ 4x^2 4y^2 z^2 = 64 By signing up, you'll get for Teachers for Schools for Working Scholars® for



A Solid E Lies Within The Cylinder X 2 Y 2 4 Chegg Com



T The Intersection Between Cylinder X 1 2 Y 2 1 And Sphere X 2 Y 2 Z 2 4 Is Called
YdV, where Eis the solid that lies between the cylinders x2y2 = 1 and x 2 y 2 = 4, above the xyplane, and below the plane z= x Using cylindrical coordinates, the region of integration isWe can take your online class, write your essays do your homework, take your quizzes, and do discussion boards for youFind the volume of the solid that lies inside the sphere x2 y 2 z 2 = 9 and outside the cylinder x 2 y 2 = 1 Solution Let E be the solid described above



15 5 Triple Integrals In Cylindrical And Spherical Coordinates Mathematics Libretexts



Ocw Mit Edu Resources Res 18 001 Calculus Online Textbook Spring 05 Textbook Mitres 18 001 Strang Pdf
If you liked my science video, yoSurfaces and Contour Plots Part 4 Graphs of Functions of Two Variables The graph of a function z = f(x,y) is also the graph of an equation in three variables and is therefore a surfaceSince each pair (x,y) in the domain determines a unique value of z, the graph of a function must satisfy the "vertical line test" already familiar from singlevariable calculusX2 y2 = r over the region D defined by the intersection of the top (or 4 bottom) and the cylinder which is a disk x 2 y 2 ≤ 1 or 0 ≤ r ≤ 1 in the xyplane



The Solid Enclosed By The Cylinder Y X 2 And The Planes Z 0 And Y Z 1 Youtube



Calculo Vectorial
Above and below by the sphere x2 y2 z2 = 9 and inside the cylinder x2 y2 = 4 z y x Page 5 of 18Find the Center and Radius x^2y^2=4 x2 y2 = 4 x 2 y 2 = 4 This is the form of a circle Use this form to determine the center and radius of the circle (x−h)2 (y−k)2 = r2 ( x h) 2 ( y k) 2 = r 2 Match the values in this circle to those of the standard form The variable r r represents the radius of the circle, h h representsArrow_forward Buy Find launch



Example 6 2 8 Maple Help



Calc3 1001 By James Bardo Issuu
X 2 y 2that lies between the cylinders x y = 4 and x 2y = 9Write down the parametric equations of the cone rst Then nd the surface area using the parametric equations c)The part of the surface z = y2 x2 that lies between the cylinders x2 y2 = 1 and x 2y = 4Write down the parametric equations of the paraboloid and use them to nd theWritten 32 years ago by juilee ♦ 71k modified 29 years ago by sanketshingote ♦ 570 Volume = 8 ∫ ∫ ∫ d x d x d y d z = 8 ∫ ∫ ∫ z = 0 a 2 − x 2 d x d y d z = 8 ∫ ∫ ( a 2 – x 2) d x d y Now in the XY plane we have a circle x 2 y 2 = a 2, y varies from 0 to a 2 − x 2The part of the circular cylinder x2 y2 = 4 that is between the planes z = 1 and z = 5 6 The upper hemisphere of the sphere x2 y 2z = 9 7 The entire sphere x2 y 2z = 16 8 The surface of revolution given by rotating the region bounded by y = x3 for 0 ≤ x ≤ 2 about the



Solved Use Cylindrical Coordinates Find The Volu



Solved 4 A Ex 6 4pts Evaluate The Integral 32 Y22 Ds Where S Is The Part Of The Plane 2 4 7 3 That Lies Inside The Cylinder 3 2 Course Hero
X2 dV , where E is the solid that lies within the cylinder x 2 y2 = 1, above the plane z = 0, and below the cone z2 = 4x 4y2 Solution In cylindrical coordinates the region E is described by 0 ≤ r ≤ 1, 0 ≤ θ ≤ 2π, and 0 ≤ z ≤ 2r Thus, ZZZ E



A Paraboloid Described By Z X 2 Y 2 On The Xy Plane And Partly Inside The Cylinder X 2 Y 2 2y How



Find The Volume Of The Bounded By The Cylinder X 2 Y 2 4 The Planes Y Z 4 Z 0 Youtube



Create Cylinder Matlab Cylinder



Where F X Y Z 2x 2y S Cylinder X2 Y2 4 Chegg Com



Question 4 I Find The Volume Of The Solid Bounded Gauthmath



Triple Integral In Cylindrical Coordinates Ppt Video Online Download



Where F X Y Z 2x 2y 22 S Cylinder X2 Y2 Chegg Com



A Solid E Lies Within The Cylinder X 2 Y 2 9 Chegg Com



Find The Volumes Of The Regions The Region Cut From The Cylinder X 2 Y 2 4 Youtube



Multiple Integrals H 2 Y Are Continuous Functions On C D And Let F X Y Be A Function Defined On R Then Pdf Free Download



13 6 Volume Between Surfaces And Triple Integration Mathematics Libretexts



Triple Integrals In Cylindrical Coordinates Page 2



Calculus Iii Surface Integrals



Calculus Volume Integral Mathematics Stack Exchange



Find The Volume Of The Solid Between The Cylinder X 2 Y 2 4 And The Sphere X 2 Y 2 Z 2 16 Study Com



Use A Triple Integral To Find The Volume Of The Given Solid The Solid Enclosed By The Cylinder X 2 Z 2 4 And The Planes Y 1 And Y Z 4 Homework Help And Answers Slader



Bounded By The Cylinder X 2 Y 2 1 And The Planes Y Z X 0 Z 0 In The First Octant Homework Help And Answers Slader



Can X 2 Y 2 A 2 Be The Equation Of A Cylinder Quora



Thomas Calculus 11e 1263 1564 Pages 151 0 Flip Pdf Download Fliphtml5



Ppt Math23 Multivariable Calculus Powerpoint Presentation Free Download Id



Use A Triple Integral To Find The Volume Of The Given Solid The Solid Enclosed By The Cylinder X 2 Z 2 4 And The Planes Y 1 And Y Z 4 Homework Help And Answers Slader



Www3 Nd Edu Zxu2 Triple Int16 7 Pdf



Making A 3d Cylinder Out Of A Polygon Stack Overflow



1



Surface Area



Triple Integral Find Volume X 2 Cylinder X 2 Y 2 1 Above Z 0 Below Line Z 2 4 X 2 4 Y 2 Youtube



Hartleymath Triple Integrals



Triple Integrals In Cylindrical And Spherical Coordinates



Using Double Integral Find The Volume Of Sphere X 2 Y 2 Z 2 4 Cut By Cylinder X 2 Y 2 2y Mathematics Stack Exchange



12 6 Quadric Surfaces Mathematics Libretexts



Please Do No 4 3 Evaluate The Triple Integral Jijd Rdv Where D Is The Solide By The Parabolic Cylinder Y And Th Homeworklib



M I T



F X Y Z 2x 2y Z 2 S Cylinder X 2 Y 2 Chegg Com



Find Value Of The Solid Inside Both To Cylinder X 2 Y 2 4 And Ellipsoid 4x 2 4y 2 Z 2 64 Study Com



Stoke S Theorem Page 2



Find The Volume Bounded By The Paraboloid 𝒙𝟐 𝒚𝟐 𝒂𝒛 And The Cylinder 𝒙𝟐 𝒚𝟐 𝒂𝟐 Applied Mathematics 2 Shaalaa Com



Tutorial Exercise Use The Divergence Theorem To Calculate The Surface Integral Ss F Ds That Is Homeworklib



Solved Use Polar Coordinates To Find The Volume O



F X Y Z 2x 2y Z 2 S Cylinder X 2 Y 2 Chegg Com



15 5 Parameterized Surfaces And Surface Area Chapter 15 Vector Analysis Part Calculus Iii



Section 12 6 Triple Integrals In Cylindrical Coordinates Ppt Download



Use Polar Coordinates To Find The Volume Of The Given Solid Inside The Sphere X 2 Y 2 Z 2 16 Brainly In



Q Tbn And9gct1fdbfatxpmynpxjkf8zisdakywr9yaqpbtt1q Hwikzpxqygk Usqp Cau



Region D Is Bounded By Below By Z 0 And Above By X 2 Y 2 Z 2 4 And On Sides X 2 Y 2 1 Is Required To Be Setup In Spherical Coordinate Mathematics Stack Exchange



Double Integrals In Polar Coordinates Calculus Openstax Cnx



Thomas Calculus 11e 1263 1564 Pages 151 0 Flip Pdf Download Fliphtml5



How To Find The Volume Of A Solid Region Bounded By Paraboloid Z 4 X 2 2y 2 And The Xy Plane Quora



How To Calculate The Volume Of The First Octant Solid Bounded By The Cylinders X 2 Y 2 4 And X 2 Z 2 4 Quora



Graph The Cylinder X 2 Y 2 16 And The Sphere X 2 Y 2 Z 2 49 Together Using Maple And Find The Volume Outside The Cylinder And Inside The Sphere Study Com



1



Multiple Integration 14 Copyright C Cengage Learning All Rights Reserved Ppt Download



Hartleymath Triple Integrals



Simple Geometry Question Equation Of Cylinder Mathematics Stack Exchange



Surfaces Part 3



Faculty Nps Edu Pstanica Teaching Chap16 Sec8 9 Pdf



Let W Be The Region In Figure 19 Bounded By The Chegg Com



1 Point Find The Volume Of The Wedge Shaped Region Figure 1 Contained In The Cylinder X2 Y2 4 And Bounded Above By The Plane Z X And Below By The Xy Plane



Www Math Tamu Edu Glahodny Math251 Section 13 10 Pdf



Thomas Calculus 11e 1263 1564 Pages 151 0 Flip Pdf Download Fliphtml5



Btech Ii Engineering Mathematics Unit3



3 Find The Volume Enclosed By The Following Two Parabolic Cylinders Y 2x X2 And Y2x2xand The Planes X Y Z Homeworklib



A Solid Is Bounded By The Paraboloid Z X 2 Y 2 The Cylinder X 2 Y 2 4 And The Xy Plane Use Cylindrical Coordinates To Find Its Volume And Its Centroid Study Com



Find The Volume Of The Solid In The First Octant Limit By X 2 Y 2 4 And Z Y 3 Mathematics Stack Exchange



Multiple Integrals H 2 Y Are Continuous Functions On C D And Let F X Y Be A Function Defined On R Then Pdf Free Download



Www Whitman Edu Mathematics Multivariable Multivariable 15 Multiple Integration Pdf



Triple Integral In Cylindrical Coordinates Ppt Video Online Download



Taller Calculo B



Multiple Integrals H 2 Y Are Continuous Functions On C D And Let F X Y Be A Function Defined On R Then Pdf Free Download



Copyright C Cengage Learning All Rights Reserved Ppt Download



Find The Volume Inside Both The Cylinder X 2 Y 2 4 And The Ellipsoid 4x 2 4y 2 Z 2 Youtube



Cylindrical Surfaces



Notes Up To Ch7 Sec3



How Do You Graph X 2 Y 2 4 Socratic



Cylindrical Surfaces



Find The Volume Bounded By The Parabolic X 2 Y 2 Az And The Cylinder X 2 Y 2 A 2



Find The Volume Of The Region Contained In The Chegg Com


0 件のコメント:
コメントを投稿